RU
KZ
Абай облысы білім басқармасының Аягөз ауданы білім бөлімінің «Мектеп жанындағы интернаты бар жалпы орта білім беретін № 6 мектебі»
Қабылдау бөлімі:
+7(72237)0-0-0
Сенім телефоны
+7(72237)5-33-78
795_000@ayagoz-roo.kz
Ақпарат
Мектеп туралы
Біздің жетістіктеріміз
Біздің тарихымыз
Әкімшілік
Мұғалімдер
Әдістеме және тәжірибе
Нормативтік құжаттар
ТВ-Видео
Оқиғалар
Оқушыларға
Сабақ кестесі
ҰБТ
Оқушылардың жетістіктері
Ата-аналарға
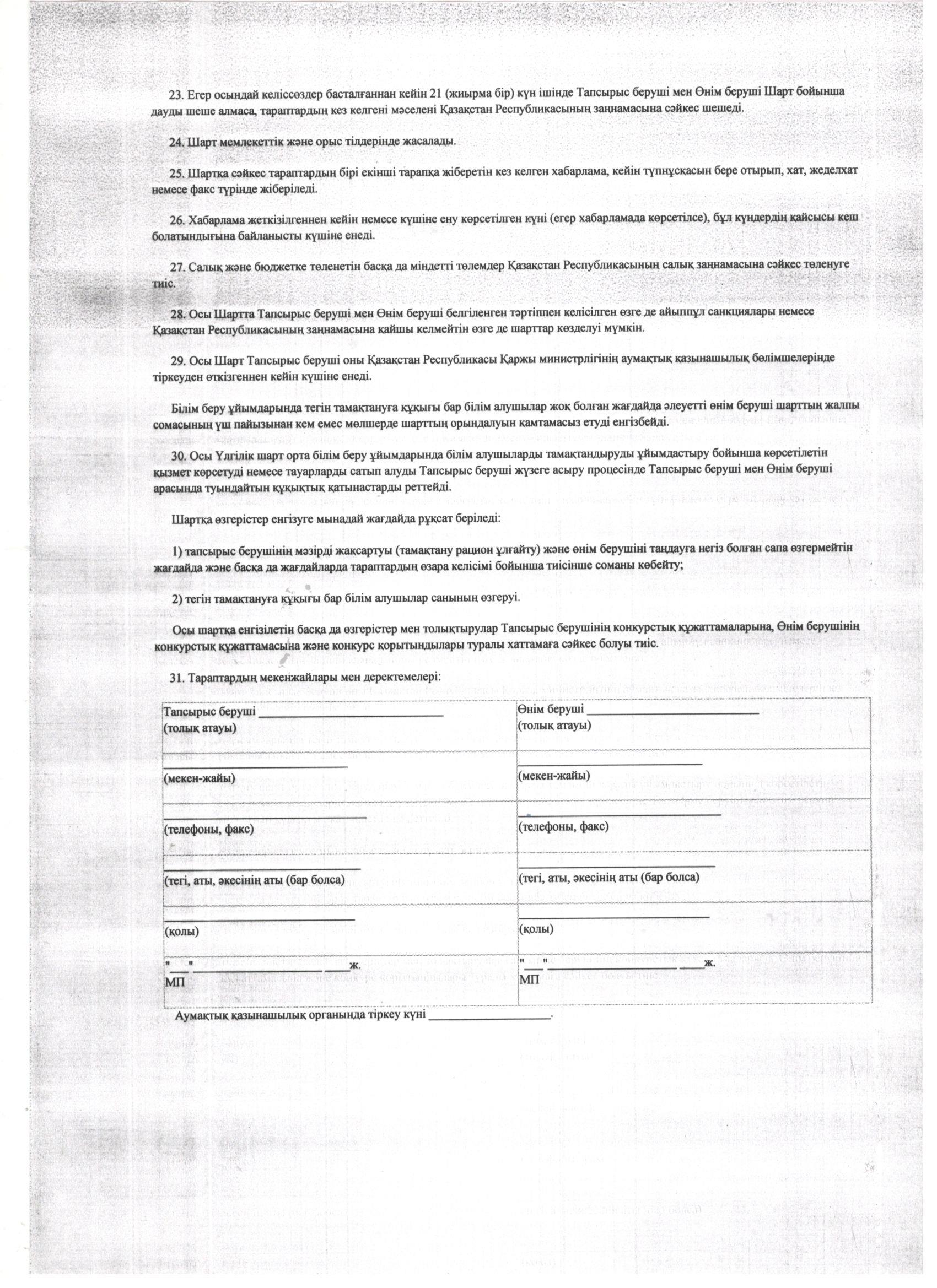
Тамақтану
Қызметті сатып алу жоспары
Ашық конкурс
Тамақтану сапасын бақылау
Тамақтану туралы келісімшарттар
Ашық бюджет
Жеке қаржыландыру жоспары
Қаржылық қызметтің негізгі көрсеткіштері
Мемлекеттік сатып алу жоспары
Табыс туралы есеп
Бекітілген бюджет
Ашық орган
Сыбайлас жемқорлыққа қарсы іс-қимыл
Қамқоршылар кеңесі
Мемлекеттік қызметтер
Мемлекеттік қызметтер стандарттары
Ережелер
Байланыс
Мектеп сайты
»
Питание
»
Открытый конкурс
» Конкурс туралы хабарландыру
Сайт мәзірі
Ақпарат
Мектеп туралы
Біздің жетістіктеріміз
Біздің тарихымыз
Әкімшілік
Мұғалімдер
Әдістеме және тәжірибе
Нормативтік құжаттар
ТВ-Видео
Оқиғалар
Оқушыларға
Сабақ кестесі
ҰБТ
Оқушылардың жетістіктері
Ата-аналарға
Тамақтану
Қызметті сатып алу жоспары
Ашық конкурс
Тамақтану сапасын бақылау
Тамақтану туралы келісімшарттар
Ашық бюджет
Жеке қаржыландыру жоспары
Қаржылық қызметтің негізгі көрсеткіштері
Мемлекеттік сатып алу жоспары
Табыс туралы есеп
Бекітілген бюджет
Ашық орган
Сыбайлас жемқорлыққа қарсы іс-қимыл
Қамқоршылар кеңесі
Мемлекеттік қызметтер
Мемлекеттік қызметтер стандарттары
Ережелер
Байланыс
Мұрағат
Декабрь 2025 (5)
Ноябрь 2025 (1)
Октябрь 2025 (8)
Сентябрь 2025 (1)
Август 2025 (2)
Май 2025 (2)
Апрель 2025 (5)
Март 2025 (3)
Февраль 2025 (6)
Январь 2025 (3)
Декабрь 2024 (13)
Ноябрь 2024 (25)
Октябрь 2024 (23)
Сентябрь 2024 (32)
Июль 2024 (3)
Июнь 2024 (1)
Май 2024 (35)
Апрель 2024 (44)
Март 2024 (56)
Февраль 2024 (54)
Январь 2024 (46)
Декабрь 2023 (26)
Ноябрь 2023 (47)
Октябрь 2023 (64)
Сентябрь 2023 (44)
Август 2023 (6)
Июнь 2023 (25)
Май 2023 (41)
Апрель 2023 (26)
Март 2023 (10)
Февраль 2023 (8)
Январь 2023 (2)
Ноябрь 2022 (4)
Октябрь 2022 (19)
Сентябрь 2022 (33)
Август 2022 (2)
Май 2022 (2)
Апрель 2022 (21)
Март 2022 (18)
Февраль 2022 (34)
Январь 2022 (21)
Декабрь 2021 (19)
Ноябрь 2021 (2)
Октябрь 2021 (2)
Сентябрь 2021 (3)
Июнь 2021 (18)
Май 2021 (16)
Апрель 2021 (28)
Март 2021 (10)
Февраль 2021 (7)
Январь 2021 (5)
Декабрь 2020 (7)
Ноябрь 2020 (4)
Октябрь 2020 (4)
Сентябрь 2020 (3)
Март 2020 (2)
Февраль 2020 (11)
Январь 2020 (2)
Октябрь 2019 (1)
Сентябрь 2019 (4)
Август 2019 (2)
Сентябрь 2018 (1)
Показать / скрыть весь архив
Соңғы жаңалықтар
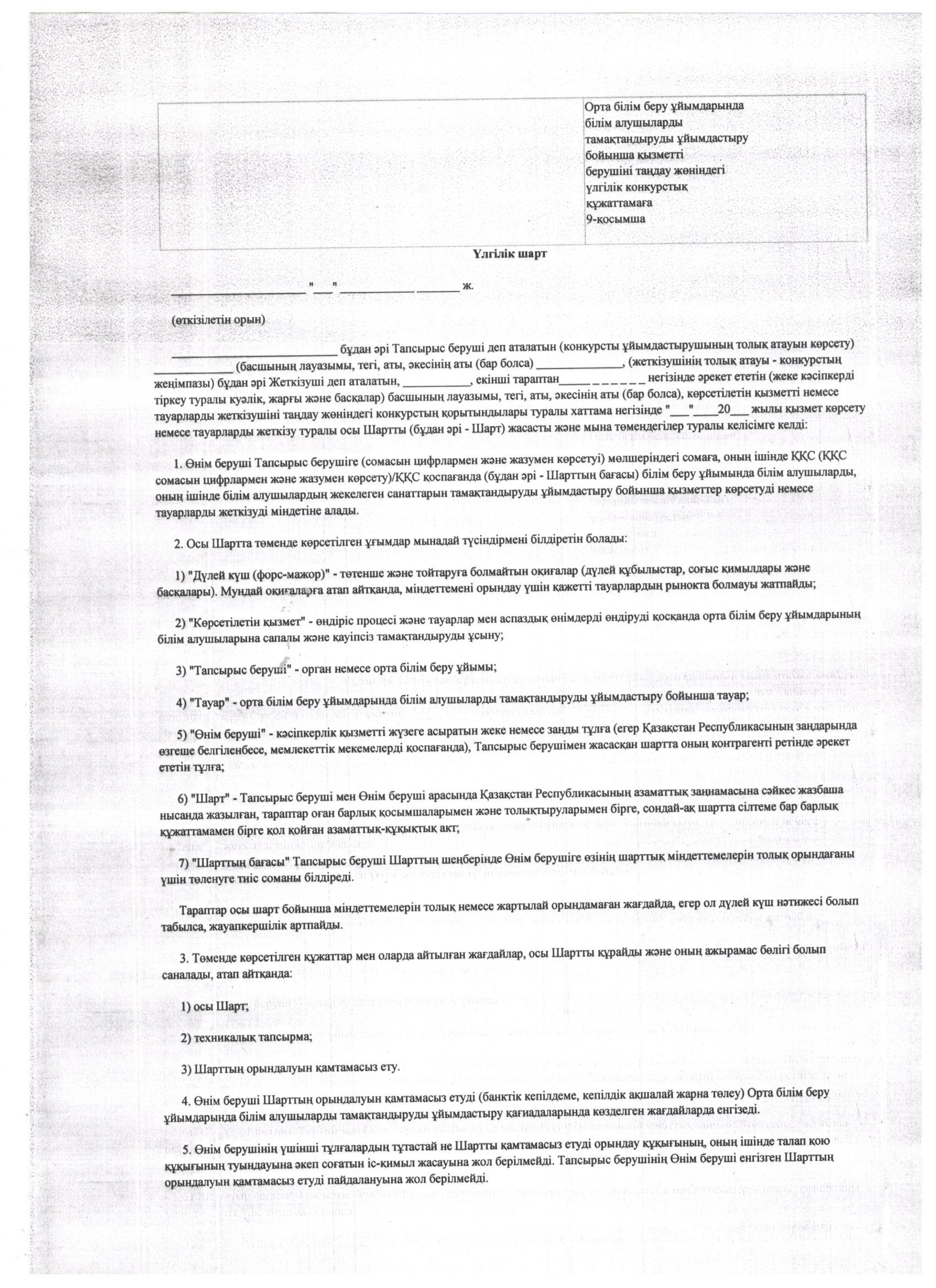
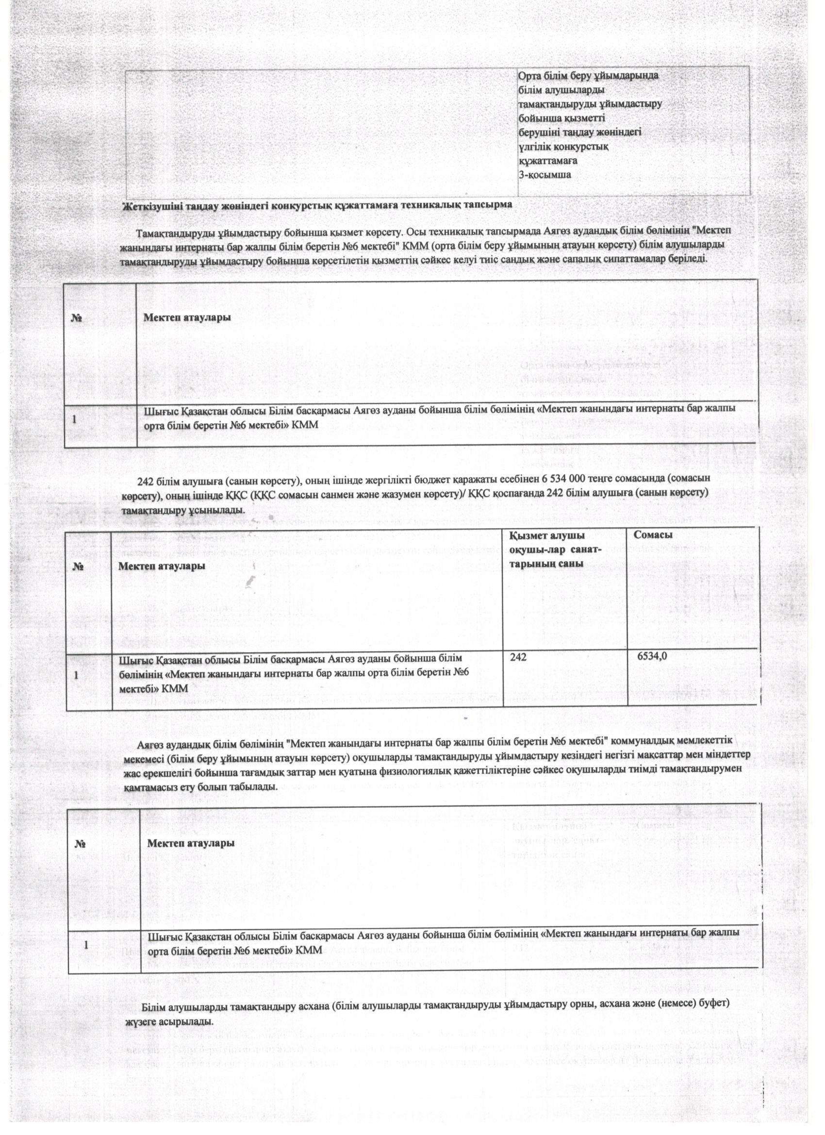
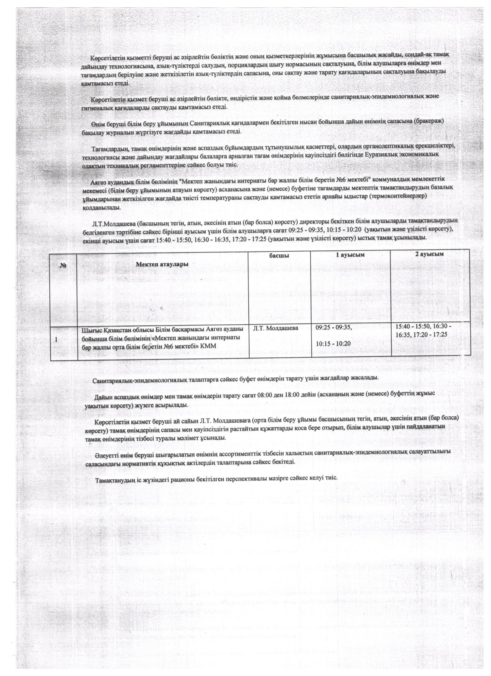
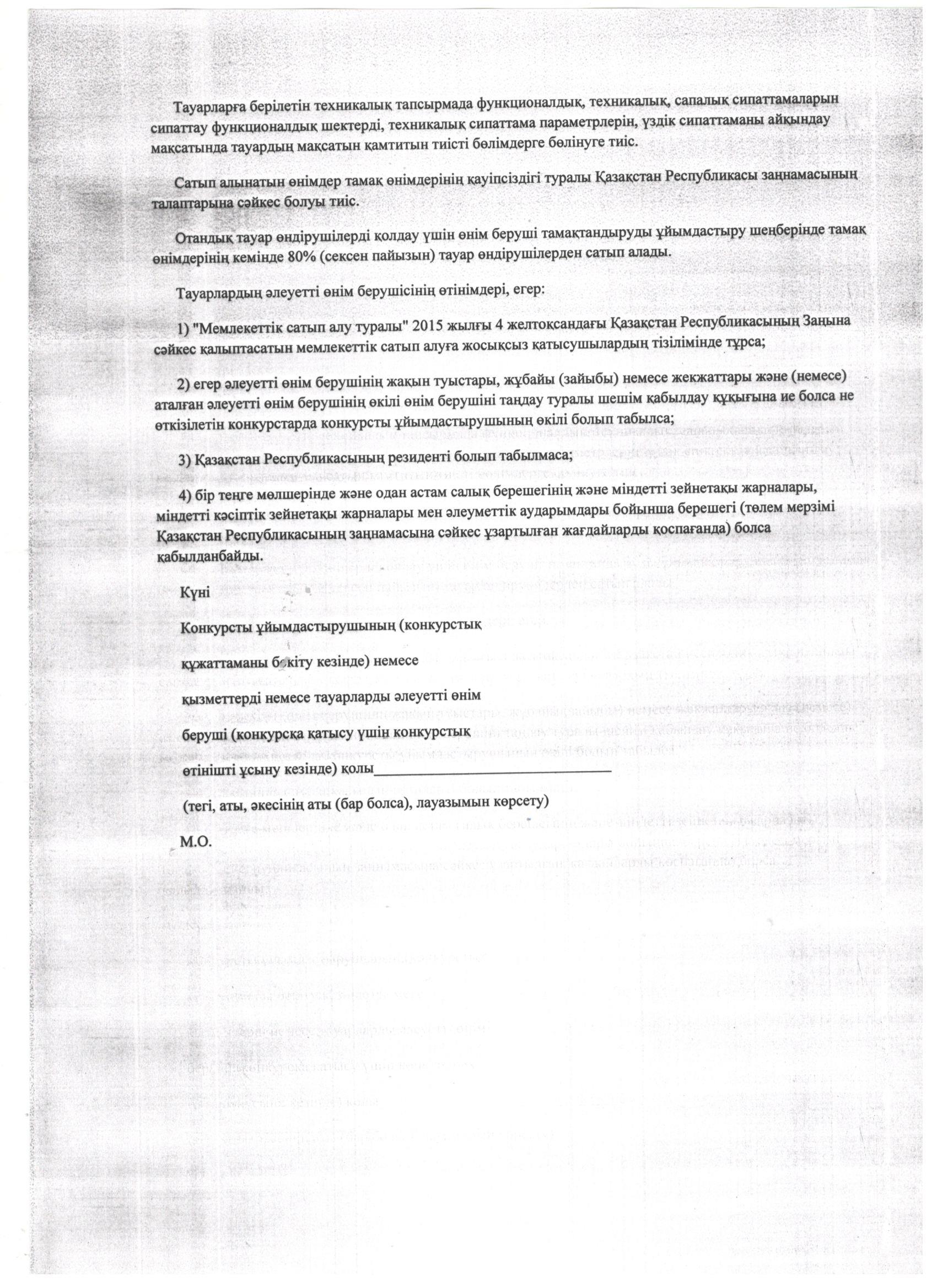
Конкурс туралы хабарландыру
0
1
2
3
4
5
Добавлено: 15-03-2021, 15:00
0
738
adminshcool6
Питание
/
Открытый конкурс
Добавить комментарий
Елбасының Жолдауы
Мемлекеттік рәміздер
Государственный Флаг Республики Казахстан
Государственный Герб Республики Казахстан
Государственный Гимн Республики Казахстан
Аудан жаңалықтары
Фотогалерея
Жаңалықтар мұрағаты
«
Декабрь 2025 »
Пн
Вт
Ср
Чт
Пт
Сб
Вс
1
2
3
4
5
6
7
8
9
10
11
12
13
14
15
16
17
18
19
20
21
22
23
24
25
26
27
28
29
30
31